选择语言
药明康德量子力学有机化学赛道擂台赛2022年第一期于7月15号顺利进行,现已完成阅卷及内部成绩公示。我们在公众号同步发布试题解析图文版,方便大家交流与学习。试题解析由四位参赛选手提供,欢迎大家在文末留言探讨。
基于上半年利用量子力学工具解决化学问题的数据,选取Top10的参赛选手进入IDSU量子力学有机化学赛道擂台赛。本次竞赛安排在7月15日(周五) 上午 10:00 至下午14:00举行。通过邮件发送考题。
1)开卷考试,可参考QM SOP及电子书[1][2],但不可使用Reaxys文献检索。
2)要求参赛者在4小时内完成计算4个试题,并提交PPT + 分析解说(中英皆可)+ Spartan计算文件。
3)提交方式:将材料汇总并发送到指定评审者邮箱。
4)评分细则:每道题目25分,共100分。 PPT + 分析解说(20分), Spartan档案(5分)。赛道评审者打分后进行排名。


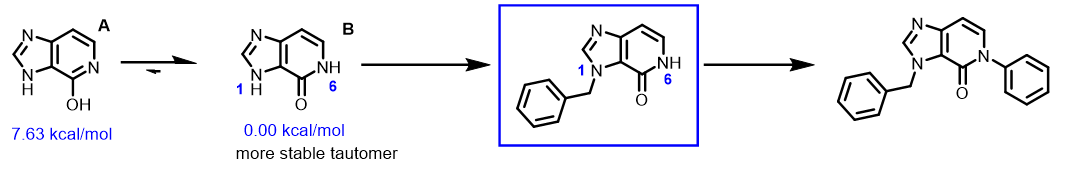
图1. 底物两种主要互变异构的相对能量
原料存在多种互变异构,其中A和B是能量相对更低的两种结构。其中酰胺形式的A vs B结构相对能量为7.63 vs 0.00 kcal/mol,根据玻尔兹曼分布,B构型所占比例为100%,表明反应体系中化合物主要以该结构存在,是参与反应的主要形式(图1)。NH的酸性是取代反应选择性的决定因素,接下来计算结构B的静电势图ESP来判断酸性最强的位点(第三章-利用静电势图预测分子酸性强度[4])。

图2. 互变异构体B的静电势图
酸性可以通过静电势图ESP中相应位点的静电势最大值判断,N1位为260.4 kJ/mol,N6位为230.0 kJ/mol(图2)。数值越大,代表酸性越强,N1位比N6位静电势能高约30 kJ/mol,因此碱性条件下选择性地拔去1位的NH,形成的1位氮负离子优先发生取代反应。

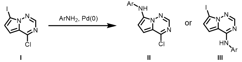
For the above Buchwald amination, will the reaction form a single product or mixture of products? If it is a single product, which one, II or III? What are the QM parameters to calculate for analysis? Please provide QM calculation results and interpretation.
对于题目中的Buchwald-Hartwig Coupling,我们首先考察底物的LUMO分布[6]。从图3可知,相比于吡咯上连碘碳原子,三嗪上连氯碳原子有着更大的LUMO lobe分布;LUMO+1只在C-I键上分布着明显的“珍珠串”型lobe, 这可以用于卤素金属交换反应的选择性分析, 而不适用于氧化加成或SNAr反应[8]。对于本题目我们只需考察LUMO即可:反应会优先发生在有着更多LUMO Lobe分布的连氯碳原子上,生成产物III。

图3. 底物I的LUMO(左)和LUMO+1(右)示意图
同时我们可以通过LUMO Map(图4)得知,C-Cl 碳更加容易参与反应。此外我们在第五章中[7]还介绍了一个小技巧:计算C-X键的红外(IR)的伸缩振动频率来预测区域选择性。伸缩振动频率相对低的C-X键,该键键能越弱,越容易断裂。在这个底物中,C-Cl键(1191 cm-1)比C-I键(1361 cm-1)的键能弱,更易发生氧化加成反应。

图4. 底物I的LUMO Map及C-X键IR示意图
综合考察LUMO Lobe, LUMO Map以及IR,我们可以得到一致的结论: Buchwald反应会优先发生在C-Cl键上,生成产物III。

Will the above Chan-Lam reaction form a single product or mixture of products? If it is a single product, which one, II or III? What is the QM parameter to calculate for analysis? Please provide QM calculation results and interpretation.
我们在量子力学有机化学第34章[10]介绍了如何通过QM预测Chan-Lam反应发生位点。此题目可以参照解答。对于Chan-Lam反应,我们首先考察底物更容易去质子化的反应位点,再通过考察负离子中间体的HOMO预测产物生成情况。
通过底物静电势图ESP示意图(图5左)可知,N4位酸性更强[4] (ESP at N4: 272.0 kJ/mol >> N2: 200.9 kJ/mol)更容易去质子化生成对应的负离子中间体。随后,我们考察负离子中间体的HOMO,从右下示意图可知HOMO lobe只在N4位,故化合物I的Chan-Lam反应优先发生在4位生成单一产物III。

图5. 化合物I的ESP示意图(左)化合物I对应负离子HOMO示意图(右)

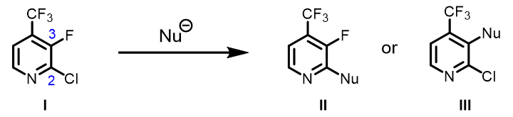
Will the above SNAr displacement reaction form a single product or mixture of products? If it is a single product, which one, II or III? What are the QM parameters to calculate for analysis? Please provide QM calculation results and interpretation.
SNAr反应是一类特殊的亲核取代反应,因此我们首先考察了化合物I的LUMO[6]。由图6可知,化合物的LUMO lobe主要分布在碳碳键上,而非以C-2碳或者C-3碳为中心,因此我们继续考察了LUMO+1轨道。

图6. 化合物I的LUMO and LUMO+1示意图
从化合物的LUMO+1示意图(图7左)可以看到, C-2碳与C-3碳均有lobe分布。此外由LUMO+1 map(图7中)和LUMO+1/density(图7右)我们可以得出,C-3位LUMO+1 lobe相对于C-2更易被接近,更容易发生亲核取代反应。故此反应将选择性生成化合物III。

图7. 化合物I的LUMO+1 map和LUMO+1/density示意图
本文由王秋月、赖光华、卫小文编撰。
参考文献:
[1]“量子力学在有机化学上的应用” 第三版, 2022。
[2] Spartan’20 Tutorial and User’s Guide. Irvine, CA, USA: Wavefunction, Inc. 2021
[3] W.W.K.R. Mederski, M. Lefort, M. Germann, D. Kux, Tetrahedron, 1999, 55, 12757.
[4] 量子力学有机化学第3章:利用静电势图预测分子酸性强度。
[5] WO2019/147782, 2019, A1 p191, 194; US2012/77814, 2012, A1 p25; WO2011/25940, 2011, A1 p. 92.
[6] 量子力学有机化学第1章:亲核反应中LUMO计算的运用。
[7] 量子力学有机化学第5章:QM在多卤素底物连续偶联反应中的应用。
[8] 量子力学有机化学第39章:解谜卤素选择性差异:SNAr和偶联vs卤素金属交换反应。
[9] L. Tao, Y. Yue, J. Zhang, S.Y. Chen, X.Q. Yu, Helvetica Chimica Acta, 2008, 91, 1008.
[10] 量子力学有机化学第34章:通过QM预测Chan-Lam反应发生位点。
[11] L.C. Campeau, Q. Chen, D. Gauvreau, M. Girardin, K. Belyk, P. Maligres, G. Zhou, C.Z. Gu, W. Zhang, L.S. Tan, P. D. O'Shea, Org. Process Res. Dev.2016, 20, 1476.