选择语言
碘化反应在有机化学中有着重要的意义。有机分子中的碘基团具有化学上“高反应活性”;碘代物在官能团转化和活性分子构建中都发挥着格外重要的作用。例如,在构建如图1所示“氚-tritium”标记的活性药物分子MK-0248时,原料经碘化再氚代得到的目标分子可用于生物学研究及DMPK分析。[1]

图1. HIV-1 整合酶抑制剂临床候选药物 MK-0248氚标记
在二十五章中我们介绍了利用HOMO和LUMO的能量差快速评估反应活性的方法。这一简便快捷的判断方法在Pictet-Spengler反应和卤化反应中得到了较好的验证。在该章的“小试牛刀”部分我们分享了两个碘化反应留给大家讨论。如图2所示,在N-碘代丁二酰亚胺(NIS) 参与的卤化反应中,苯酚可以得到双取代和三取代的产物。1,2,3-三氟-4-硝基苯在同样条件下则难以发生卤化反应,但是在反应体系中加入三氟甲磺酸后却以64%的收率得到产物。文章作者推理真正参与反应的是NIS与三氟甲磺酸反应生成的三氟甲磺酸碘,一个超亲电的碘化试剂[2]。

图2. 苯酚和1,2,3-三氟-4-硝基苯的的碘代反应
在做碘化反应时,化学工作者经常遇到两个问题: 1. 碘化的位置选择性;2. 选择合适的碘化试剂。本章我们将尝试通过QM分析来解答这两个问题。
在前面的第二、十七和十八章中,我们介绍了如何利用HOMO, HOMO map及碳谱预测等工具来分析预测亲电卤代反应的位置选择性。
亲电反应优先发生在HOMO lobe最大的地方,所以我们首先计算得到1,2,3-三氟-4-硝基苯的轨道和它的能量。如图3所示,HOMO和HOMO-1的能量差值仅为0.2 eV,所以我们需要同时分析HOMO和HOMO-1。HOMO lobe主要分布在C-5位,HOMO-1 lobe则主要分布在C-6位。两个位点都有可能发生反应,很难据此做出明确的反应位点预测。进一步计算底物的核磁共振碳谱(图3),从计算结果可知C-5 (123 ppm) 与C-6 (112 ppm) 化学位移差距明显,C-6更低场一些,相对更富电更容易发生亲电反应,因此可以推断碘化反应会优先发生在C-6位。

图3. 1,2,3-三氟-4-硝基苯的HOMO及HOMO-1示意图及 13C NMR位移值
进一步比较HOMO及HOMO-1 map(图 4)发现C-6位的密度明显更高。我们知道HOMO Map中蓝色富集的区域会有比较高的可能性发生亲电反应,说明C-6位更容易被亲电试剂进攻。

图4. 1,2,3-三氟-4-硝基苯的HOMO 及HOMO-1 Map示意图
最后,我们还可以扩展第十七章中计算溴代正离子的平衡构象以及相对能量(相对能量越低,越有利于发生亲电反应)的方法到碘化反应中来进一步验证。通过比较C-5、C-6位碘代正离子的平衡构象以及相对能量,我们也可以得出同样的结论,即碘化反应更容易发生在C-6位(图5)。

图5. C-5、C-6位碘代正离子的平衡构象以及相对能量
对前面的四种方法得到位置选择性的结果进行一个简单的总结:
1.HOMO,HOMO-1的能量差为0.2 eV,需要同时考虑HOMO和HOMO-1。根据HOMO lobe预测碘代反应发生在C-5位,而HOMO-1预测反应发生在C-6位。
2.13C 谱的计算预测反应发生在C-6位。
3.HOMO map 和HOMO-1 map预测反应发生在C-6位。
4.碘代正离子的平衡构象以及相对能量计算预测反应发生在C-6位。
综上所述,由计算结果预测碘代反应会优先发生在C-6位,这也与实验结果相吻合。[2,3]
解决了位置选择性的问题后,我们还面临着另一个问题,怎样选择合适的碘化试剂(条件)呢?
在二十五章中对氯代反应的讨论中,我们总结出了一个大概的规律:LUMO能量越低,反应活性也就越强,LUMO能量可以用来衡量卤化试剂的活性。当电子效应是反应活性主要影响因素时,利用氯化试剂LUMO和底物HOMO的能量差可以快速评估反应的难易。当能量差超过特定的阈值时,反应难以进行(图6)。

图6. 三氯异氰脲酸、二氯海因和NCS的LUMO及能量
该方法同样适用于碘化反应,在NIS 的卤化反应中,NIS的LUMO与苯酚的HOMO 的能量差值为 7.52 eV可以得到碘取代的产物。对于1,2,3-三氟-4-硝基苯的碘化反应,我们发现碘化试剂NIS的LUMO与1,2,3-三氟-4-硝基苯的HOMO-1 的能量差值为 9.54 eV,所以当使用NIS作为碘化试剂时,碘化反应不能发生。而CF3SO3I的LUMO与底物HOMO-1的能量差值为7.68 eV (表 1),该条件下碘化反应可以顺利发生。

表1. 碘化试剂的LUMO及反应底物的HOMO值以及能量差
我们将常见的几种碘化试剂进行了LUMO计算,并根据所得数值总结了它们发生碘化反应的活性顺序(图7)。LUMO能量越低则该碘化试剂的反应活性越高。如图所示,CF3SO3I与CH3SO3I的LUMO能量都很低,其发生碘化反应的能力都很强。[4]


图7. 不同碘化试剂的LUMO能量
综上所述,本文我们通过利用QM工具对1,2,3-三氟-4-硝基苯的碘化反应进行了分析,讨论了碘化反应常见的两个问题。首先,我们通过分析底物的HOMO、计算核磁共振碳谱、HOMO map和碘代正离子平衡构象以及相对能量的计算解决了碘代反应位点预测的问题。然后,将二十五章总结的利用氯化试剂LUMO和底物HOMO的能量差评估反应活性的方法扩展到碘化反应中。最后,通过LUMO计算将常见的几种碘化试剂的反应活性进行了活性排序,希望对化学合成人员有所帮助。
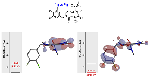
如对下图抑制剂化合物进行氚标记,需要先碘化再氚化。可发生碘代反应的苯环部分有明显的HOMO-1 Lobes。你能根据如下提示预判优先反应位点么?用哪些碘化试剂可以使反应顺利进行呢?期待你的留言!

图8. 抑制剂化合物HOMO及HOMO-1示意图

参考文献:
[1] (a) R. Voges, J.R. Heys, T. Moenius, Preparation of Compounds Labeled with Tritium and Carbon-14, John Wiley & Sons Ltd, 2009. (b) T. Nagasaki, K. Sakai, M. Segawa, Y. Katsuyama, N. Haga, M. Koike, K. Kawada, S. Takechi, J. Labelled Cpd. Radiopharm. 2001, 44, 993.
[2] G.A. Olah, Q. Wang, G. Sandford, G.K. Surya Prakash, J. Org. Chem. 1993, 58, 3194.
[3] Spartan’20 QM NMR calculation algorithm is not applicable for iodine containing compounds.

图9. 氟化试剂FPD数值、
本文由卢佳惠、董立亭、许兆武、王秋月、卫小文编撰。