选择语言
在有机合成中,对于有区域异构的反应,通常会得到两个或多个区域异构的产物,那么确定产物的结构就成了有机化学家们的头等大事。化学家们常常用各种二维核磁来确定其结构。但在工作中大家是不是会经常遇到,二维核磁中你期待的各种相关信号都没有出现的情况,这时你会不会感到很无助?盼望有一种工具,能提供客观、可靠的数据来解决这个问题?
本次QM小课堂我们给大家介绍一种方法:利用量子力学(Quantum Mechanics)计算13C NMR数值,和实验实际测得产物的13C NMR数值的差值比较,来辅助解析分子结构问题。
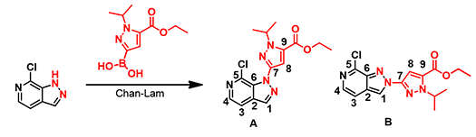
下面图一所示Chan-Lam反应的两种产物(A和B)的结构该如何确定呢?

图一. 吡唑N的Chan-Lam偶联反应的区域选择性
化学家们,你们的第一感觉是不是赶快送一个二维核磁?
可是对于这两个产物,二维核磁上却没有找到相关的C-H或H-H信号,该怎么办呢?是不是有点六神无主的感觉?
我们建议用QM来解决这个问题。通过Spartan软件对A和B进行NMR计算[1],分别得到异构体A和B的碳谱,然后用计算所得到的碳谱和核磁仪器测定的产物1和2的碳谱进行一一比较,找出与计算数据最接近的结构,从而进行化合物结构的精准分配。
先来看看实验中得到的产物1的核磁仪器测定值分别和A、B结构计算值之间的差值(表一)。从数据差值来看,产物1的结构显然更接近异构体A。

表一. 实验产物1的测定值分别与产物A和B的QM计算碳谱值的差异(Spartan'16)
备注: 绿色: Δ < 2 ppm,蓝色: 2 ≤ Δ ≤ 10 ppm,红色: Δ > 10 ppm。|Difference| 表示实验值与计算值之差的绝对值。下同。
同样,我们再来看看实验产物2的实验测定值分别和A、B异构体计算值的比较结果(表二),从数据误差结果来看,产物2的结构显然更接近异构体B。

表二. 实验产物2的测定值分别与产物A和B的QM计算碳谱值的差异(Spartan'16)
通过简单的计算与比对的操作,问题得到完美解决。经过后面一系列的实验,结构也得到了进一步确证。
小试牛刀,初战告捷!
作为化学家的你,是不是又有了新想法——利用QM计算碳谱辅助确定产物结构的方法,是否也适用于复杂的结构?
下面我们再分享一个文献报道的有趣案例。
2010 年车永胜课题组在 Org. Lett. 杂志上报道了具有抗菌活性的Cytosporolides A-C的结构[2]。该课题组报道通过文献比对,大量的二维核磁及单晶X-衍射等复杂手段确定了Cytosporolides A的绝对构型。
随着对该系列化合物Cytosporolides的深入研究,发现其抗菌活性确实不错,于是很多课题组希望对其进行全合成。2011年,澳大利亚科学家Jonathan H. George等人对车永胜课题组报道的结构提出了质疑。他们认为车永胜课题组提出的结构中含有罕见且不稳定的九元过氧内酯环结构,相比较而言,George课题组提出的六元芳基醚结构更稳定且常见(图二中红色标识部分)。通过一系列的数据分析及化学合成工作,George课题组认为他们提出的结构更加吻合实验数据,于是对Cytosporolides系列的结构进行了修改,并发表在了 Org. Lett. 杂志上[3]。详细的结构信息如下:

图二. 两篇文献报道的Cytosporolides A的详细结构
故事讲到这里,如果你是审稿人,会怎样裁决这个科学问题呢?
根据上一个案例,对于既有实验数据,又有假设结构,再给你一个量子化学计算工具Spartan软件,你是不是马上有点跃跃欲试的冲动呢?
来吧,让我们用数据说话!
通过对这两个课题组提出的结构比较可以看出,结构上的差别主要在图二中红色标识的部分。通过对这两个假定结构进行NMR计算,再分别与实验数据中C7-C9、C17-C23及C25部分进行比对(表三),结果显示QM计算所得的13C NMR数据,更支持George课题组所提出的修正结构。

表三. Cytosporolides A碳谱的部分实验值分别与两篇文献报道结构的QM计算碳谱值的差异(Spartan'18)
今天分享的两个案例,希望给大家提供一种新思路:通过利用QM计算工具,计算理论产物的13C NMR,再和实验获得的化合物数据比较,借此辅助产物结构的解析。日常实践中,我们可以在进行实验的同时,同步建立运算,这样就能加快解析过程,还可避免很多不必要的实验室劳动,欢迎有机化学家们踊跃尝试!
这里有个小Tip需要提醒大家。我们系列文章里所使用的Spartan软件,使用了CDCl3下测得的实验数据进行训练,并对计算所得NMR数据的进行最终修正。为了得到更严谨的比对结果,我们建议在实验中也用同样的溶剂做核磁哦!
温馨小提示:
接下来的章节,我们还会分享QM计算的方法,来解决更多的化学问题。敬请期待!
本文由谭大金、陈永胜、石谷沁、王秋月、卫小文编撰。
参考文献:
[1] a. Warren J. Hehre (2019). Spartan '18 Tutorial and User's Guide, Calculating NMR Spectra, page 525-529, Irvine, CA, USA: Wavefunction, Inc. b. Warren Hehre, J. Nat .Prod., 2019, 82, 2299.
[2] Yongsheng Che, et al., Org. Lett., 2010, 12, 3144.
[3] Jonathan H. George, et al., Org. Lett., 2011, 13, 5318.